论文|扬子江汽车:基于Pro/Engineer纵置板簧式悬架布置设计及应用
关键词:车桥;悬架;板簧;满载弧高;动载下跳动极限弧高;动载上跳动极限弧高;动挠度;静挠度;参数可调。
The design and application of Pro/Engineer based on the parallel leaf spring suspension arrangement
Cai Zhi Rui,Wang Zhen, Liu Su,Liu Yu
(Yangtse Motor Group Co.,Ltd, Wuhan 430040)
Abstract: Describes the use of Pro / engineer software to establish bus leaf spring suspension arrangement method and motion state analysis function, through axles, wheels and the leaf spring arc height and length of main structure parameters to confirm suspension system of each motion component assembly position, the steel plate spring kinematic interference checking, and the vehicle configuration interaction between the deployment of association.
Key words: axle;suspension bridge;leaf spring ;full arc height;the dynamic load limit camber; the dynamic load on the ultimate beating camber;dynamic deflection;static deflection; adjustable parameters
在客车底盘总体方案预布置设计中,常包含这几个方面:悬架系统、转向系统、驱动系统、制动系统、冷却系统及车架和附件等布置设计;悬架布置是其中非常重要的一环,其与转向系统,动力驱动系统等相关联运动件匹配是否理,将直接影响车辆总体参数及车辆使用性能[1~3]。板簧式悬架[4]是板簧一端铰链固定,另一端通过吊耳摆动。因结构简单、价格低廉,在客车、货车上得到广泛的采用;板簧式悬架中各参数间的关联性很强, 在总布置中需要确认及校核悬架系统满载、上下跳动极限、空载等状态、确认缓冲块位置、减振器位置及伸缩行程校核、转向车轮转向校核、转向拉杆校核、吊耳摆动角度校核等相关联的运动构件位置及参数。若在传统二维图纸上进行布置和参数调整和修改会相当繁琐,只要任何一处没有进行相应的修改就会出现问题,现借助Pro/E参数化平台,能够方便迅速且准确地完成客车板簧式悬架布置设计及应用,尝试做到各参数间能够在总体方案布置中可调,同时又能相互关联,从而降低设计工作量、缩短开发周期、降低成本、增加了总体布置的灵活性、通用性、实用性。
1 客车纵置板簧式悬架参数的选择确认
板簧式悬架设计可以大致分为选型设计(基本规格及参数计算确认)和详细结构设计两个阶段[5]:依据车辆总体性能参数的要求,确定悬架的布置方案及主要零部件的选型,计算出相匹配的板簧悬架系统的参数,再深入的进行具体悬架的细节设计等,建立起虚拟三维数字悬架模型。
1.1 客车纵置板簧式悬架模块基础单元结构组成元素:
板簧式悬架主要由钢板弹簧(弹性软件)、固定架(座耳)、减震器三部分组成,此外还包括如横向稳定杆、缓冲块等零部件,板簧通常安装方式是一端铰链固定,另一端通过吊耳旋转摆动,悬架中部用两个U形螺栓将钢板弹簧固定在车桥上如图1a所示:板簧的弧高是随车辆的载荷和路况变化而变化,但板簧的卷耳直径、板簧的展平长度、板簧固定端的位置均是不变的[6]。典型的板簧悬架及转向前桥的结构如图1所示。

(a) 纵置板簧式悬架组成元素

(b) 转向前桥的结构图
图1 纵置板簧式悬架及转向前桥的结构图
1.2 客车前后悬架系统的主要性能参数的确定
在进行钢板弹簧计算之前,当知道下列初始条件:汽车的轴距,满载静止时汽车前、后轴(桥)负荷M1、 M2,选择出合适的车桥并计算出簧下部分重量Mu1、Mu2,并据此计算出单个钢板弹簧的满载负荷Fw1=( M1- Mu1)/2:和Fw2=( M2- Mu2)/2,同时根据车辆设计的离地高度,以及悬架系统各主要零件的尺寸确定出悬架的静挠度fc、动挠度fd、板簧的振动频率、刚度、总体的尺寸要求等[6-7]。为了使弹簧总成在车上能很好夹紧,当弹簧各片较厚时,常常是将弹簧各片作成双曲率形式如图2所示,由于中间平直段部分不产生弧高,因此计算弹簧各片弧高时,弹簧作用长度应减掉压平部分长度。板簧的最终断面宽度和厚度则由供方根据性能参数的要求计算而来,本文不进行深入展开阐述,而主要讨论如何在Pro/E中进行板簧悬架布置,确定板簧的满载弹簧弧高、板簧的弧长(钢板弹簧长度L)、簧中心距等基本结构特征参数,再根据车辆总布置进一步确认其它关联构件参数。

图2 钢板弹簧的双曲率簧片参数
悬架静挠度fc是指汽车满载静止时悬架上的载荷与此时悬架刚度c之比,汽车车身前后部分的固有频率(亦称偏频)n1、n2可用下式表达:

式中:c1、c2分别为前后悬架的刚度;m1、m2分别为前后悬架的簧上质量。板簧悬架的前后悬架静挠度fc与簧载质量和悬架刚度的关系式为:
fc1=m1g/c1 fc2=m2g/c2
式中:g为重力加速度,所以,我们可以得到车辆前后悬架静挠度和固有频率的关系式:

为防止车身产生过大的纵向角振动,选取前悬架静挠度时,希望后悬架静挠度值fc2小于前悬架静挠度值fc1;从加速性考虑,若fc2大,则车身振动大,希望两值最好接近,但不相等(防止共振)。
一般推荐:fc2=(0.7~0.9) fc1
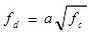
悬架的动挠度f d 是指从满载静平衡位置开始悬架压缩到结构允许的最大变形时(通常指缓冲块压缩1/3),车轮中心相对车架(或车身)的垂直位移。要求悬架应有足够大的动挠度,以防止在坏路面上行驶时经常碰撞缓冲块。汽车动挠度值与车辆使用情况和静挠度值有关:
一般推荐:
城市公交车辆a=2~2.5,公路用车辆a=2.5~3.5,越野车a=2~2.5
在做悬架设计时,我们首先根据车辆的用途和平顺性要求确定前后悬架的偏频,再根据公式计算前后悬架的静挠度和动挠度。参见表1。

表1 汽车悬架系统的主要控制参数
车型偏频n/Hz静挠度fc/mm动挠度fd/mm
货车1.5~2.250~11060~90
乘用车0.9~1.6100~30070~90
大客车1.3~1.870~15050~80
越野车1.4~2.060~13070~130
1.3 钢板弹簧主要结构特征参数
板簧主要结构特征参数是板簧弧长、弧高尺寸及二卷耳间中心距[8],其中弧高,卷耳间中心距是随着车辆载荷大小而变化,根据载荷及板簧运动状态将弧高分为满载弧高、动载上跳动极限弧高、动载下跳动极限弧高。某一车型板簧弧高与板簧变形量及静挠度、动挠度关系如图3所示。

图3 板簧弧高、载荷、动静挠度关系
钢板弹簧长度L的确定:钢板弹簧长度L是指弹簧展开伸直后两卷耳中心之间的距离。在总布置可能的条件下,钢板弹簧尽可能取长些。钢板弹簧长度L增加能显著降低弹簧应力,提高使用寿命;降低弹簧刚度,改善汽车平顺性;若垂直刚度c给定的条件下,又能明显增加钢板弹簧的纵向角刚度,同时减少车轮扭转力矩所引起的弹簧变形;通常在下列范围内选用钢板弹簧的长度:轿车:L=(0.40~0.55)轴距;客货车前悬架:L= (0.26~0.35)轴距,后悬架:L= (0.35~0.45)轴距。
满载弧高fa: 满载弧高是指钢板弹簧装到车轴(桥)上,汽车满载时钢板弹簧主片上表面中间处与两端连线间(不包括卷耳)的最大高度差值。为了在车架高度已限定时能得到足够的动挠度值fd,应根据整车和悬架性能要求给出适当值,有的车辆为得到良好的操纵稳定性,满载弧高取负值,一般取fa=10~30mm。
满载上跳动极限弧高fa1:是指钢板弹簧装到车轴(桥)上,当钢板弹簧上平面碰到缓冲块,并将缓冲块压缩1/3处时,钢板弹簧主片上表面中间处与两端连线间的最大高度差值。
满载下跳动极限弧高fa2:指钢板弹簧装到车轴(桥)上,当悬架悬空时,板簧在簧下质量作用下,板簧下移运动,板簧主片上表面中间处与两端连线间的最大高度差值,并可用来校核减振器的伸张行程。
2 纵置板簧式悬架基础单元三维模块布置设计步骤
在客车板簧式悬架三维模块建立前,需在车辆总装配三维模式环境下,按照Pro/E的Top-down Design( 自顶向下设计)设计模式[9-11],建立起整车总布置骨架模型(Wg6100xxx.skel),在总布置骨架模型中建立起前、后悬架的基本可调式的参数:如轴距(确定后桥位置)、满载车轮大小(离地高度)、转向桥四轮定位参数及板簧中心距、主销中心距、落差及板簧座上平面位置尺寸、转向拉杆铰链处上平面位置等;后桥板簧中心距、板簧座上平面尺寸及传动轴联结法栏端面位置;发动机安装纵向倾角等。具体三维总布置中参数构建步骤如下:
1.首先在Pro/E操作环境中,打开整车总布置骨架模型,参照如图4(a)所示的车桥(以前转向桥为例),将四轮定位参数(主销后倾角、主销内倾角、车轮外倾角、及前束),车桥上安装关联构件处相联的特征位置(如板簧中心距、主销中心距、落差及板簧座上平面、转向拉杆铰链上平面)构建出具体的三维总布置骨架模型如图(4b)所示。因车桥结构元素相同,上述参数的数值因不同的车型要求选择可以不同,因此在具体的车型总布置中可根据不同的车桥参数可实施具体的调整。

(a)转向桥主要参数构件位置

(b) 转向桥主要参数三维布置
图4 转向桥主要特征参数
2.在Y-0平面,依据轮胎中心轴线和前桥主销后倾角(后桥则是发动机安装纵向倾角),确认垂直于车桥板簧座中心位置设为板簧中心轴线:再设置板簧中间平直线段,平行于车桥板簧座上平面,其距离则是第一根主簧上平面与车桥板簧座上平面落差高度,再在平直线段二侧建立起等曲率的双曲线,保证板簧总展开长度不变下,建立起由弧高控制板簧中心距关系方程,软件将自动计算并确定出板簧卷耳中心A、B二点位置,从而构建出钢板弹簧第一片结构特征线,其构建图形及建立的关系式如图5所示。因总布置方案是以满载状态进行的悬架布置,因此A点即为板簧卷耳前固定架(座耳)固定销孔中心,B点即为板簧卷耳后吊耳下联结点销孔中心。

图5 钢板弹簧满载(静挠度)的参数关系
3.确定钢板后固定座中心点C位置,上述步骤2绘制的钢板弹簧第一片结构特征曲线,以后板簧卷耳中心B为端点,给出吊耳的长度即为后板簧吊耳摆动半径,角度按照满载吊耳状态确定,初始设定一个值(可调),则另一端点C即为后固定架(座耳)与吊耳进行铰链联结的中心点位置,并以C点为圆心,以BC长(吊耳长)为半径画弧,从而确认了钢板弹簧后吊耳前后摆动的运动轨迹线如图6所示。

图6 钢板弹簧的后吊耳位置确定
4.上下跳动极限位置校核,依据已确认的钢板弹簧座耳A、C点及吊耳前后摆动圆弧,按照上述步骤2的建模方法及关系式建立起板簧动载上跳动极限弧线、下跳动极限弧线如图7所示。此二条弧线定出悬架上下跳动量,动载上跳动极限曲线中间点(本处是缓冲块压缩了1/3处)确认出缓冲块位置,从而确认校核缓冲快位置和伸缩量。减振器上联结点同车架联结,其下联结点与车轿联结,并同车桥一样随板簧上下一起同步跳动,因此可根据板簧上下二条弧线定的跳动量来确认及校核减振器伸缩行程是否合适,验证板簧满载状态、上下跳动极限状态时对应的板簧吊耳角度布置取值是否合理。吊耳摆角尽量避免负值的前提下,摆角越小越好,空载时摆角10-15°为宜,满载时摆角14-30°为宜。如果角度不理想,修改上述步骤3中满载时的吊耳摆角或者吊耳长度;同样的方法在后悬架布置中,后悬架与后桥传动轴联结端面与板簧一起随车载荷上下一起跳动,因此也能确认及校核传动轴伸缩范围及万向节的夹角是否合适。

图7 钢板弹簧动载上下极限曲线及吊耳摆角校核
5.转向车轮及纵向直拉杆布置校核,在总体骨架模型中,按步骤1已建好了车桥上安装关联构件处相联的特征位置,现以转向节轴线作为旋转轴,依据车桥内外转角及拉杆铰链上平面位置进行左右旋转,从而找出了其对应轮胎、转向拉杆铰链上平面的极限处位置,从而对车轮,转向直拉杆进行运动校核并检验是否有干涉等如图8所示。至此车辆三维悬架布置设计完成,各参数关系均已确认并通过Top-down design 将具体的参数值发布给部件设计人员进行具体的结构设计。

图8 转向车轮转向及直拉杆布置校核
3 结束语
在客车底盘总体方案布置设计中,其中悬架布置在车辆总体方案中因相关联的构件太多,各构件参数布置是否合理将影响车辆总体参数及车辆使用性能。以前是采用传统二维图纸上进行布置操作起来很不方便宜,现通过建立起客车板簧式悬架布置三维模块,提取车桥共同的结构特征参数及板簧弧长与弧高各卷耳中心距的关系式,构建三维参数化模型,现只要选择了具体的车桥及板簧的参数,总体布置人员只要经过简单的三维模型上修改调整,调匹各运动件间的参数,很快的完成一辆新车的总体三维布置,并通过发布几何将总体信息传递发布给悬架部件设计人员,让悬架设计人员进行具体的部件设计。
参考文献:
[1]余志生. 汽车理论[M]. 北京:机械工业出版社,2000:
[2]刘惟信. 汽车设计[M]. 北京:清华大学出版社,2001:
[3]王望予. 汽车设计[M]. 机械工业出版社,2000:
[4]GB/T5180-1985.汽车悬架术语和定义[S].北京:中国标准出版社,1985.
[5]林平,王清娟. 汽车构造 [M]. 北京: 科学出版社,2007.
[6]陈耀明. 汽车悬架论文集 [M]. 江苏: 苏州大学出版社,2012.
[7]周长城. 汽车平顺性与悬架系统设计[M]. 北京:机械工业出版社,2011.
[8]梁圣师,沙建柯,李伟强.钢板弹簧客车两侧轴距偏差问题分析及控制[J]. 客车技术与研究,2008,(4):21-23.
[9] 陈永辉,李兴发.Pro/Engineer 中文野火版4.0实用技巧200例(第一版)[M] .北京:电子工业出版社,2010.10 .
[10] 林清安.Pro/Engineer 中文野火版4.0入门教程(第一版)[M] .北京:机械工业出版社,2010.10。
[11] 詹友刚. Pro/Engineer 中文野火版4.0工程图教程(第一版)[M] .北京:机械工业出版社,2009.05 .
1、凡本网注明“来源:www.politicsinfos.com” 的所有作品,版权均属于完美作业网有免费视频,未经本网授权,任何单位及个人不得转载、摘编或以其它方式使用上述作品。已经本网授权使用作品的,应在授权范围内使用,并注明“来源:www.politicsinfos.com”。违反上述声明者,本网将追究其相关法律责任。
2、凡本网注明 “来源:XXX(非完美作业网有免费视频)” 的作品,均转载自其它媒体,转载目的在于传递更多信息,并不代表本网赞同其观点和对其真实性负责。
3、如因作品内容、版权和其它问题需要同本网联系的,请在30日内进行。
※ 有关作品版权事宜请联系:copyright#chinabuses.com
- 李小鹏在全球可持续交通高峰论坛(2024)全体会议上作主旨讲话[09-26]
- 城市公交停车(保)场安全生产管理规定[09-13]
- 如何运用乘客与市场调查优化公交线路运营[09-11]
- 成都市快速公交系统建设与运营实践[08-19]
- 中小城市公交线网优化面临的主要问题、发展需求及优化策略[08-16]
- 城市公交行业驾驶员心理健康调查及对策建议[08-08]
- 城市公交企业如何开展安全隐患排查?[08-06]
- 城市公交企业基层班组文化建设的实践与思考[08-01]