GB 13057-2003 客车座椅及其车辆固定件的强度
GB 13057-2003(2003-03-13发布,2003-09-01实施)
前言
本标准的全部技术内容为强制性。
本标准的技术内容修改采用联合国欧洲经济委员会ECE R80法规《大型客车座椅认证及座椅强度和固定件强度有关的车辆认证的统一规定》1998版。对其中有关认证部分的内容未予采用。
本标准的附录A、附录B为规范性附录。
本标准4.3“座椅安装要求”中规定的内容,自本标准实施之日后18个月执行。
本标准由中华人民共和国交通部提出。
本标准由全国汽车标准化技术委员会(CSBTS/TC 114)归口。
本标准起草单位:江苏省交通科学研究院、国家客车质量监督检验中心、扬州亚星客车股份有限公司座椅厂、上海佳益工业有限公司。
本标准主要起草人:金明新、徐年元、王军华、李韬、高瑞隆、颜祥、周政平。
GB 13057-2003
客车座椅及其车辆固定件的强度
--------------------------------------------------------------------------------
1 范围
本标准规定了客车座椅及其车辆固定件的术语和定义、要求与试验方法。
本标准适用于M2和M3类客车中面向前方安装的座椅。车辆应具有座椅固定件,用来安装上述座椅或可能安装在这些固定件上的其他形式的座椅。
本标准不适用于M2、M3类客车中A级和I级客车使用的座椅。
M2类客车的座椅,也可应制造厂要求,选择CMVDR 217规定的技术要求与试验方法进行。
2 规范性引用文件
下列文件中的条款通过本标准的引用而成为本标准的条款。凡是注日期的引用文件,其随后所有的修改单(不包括勘误的内容)或修订版均不适用于本标准,然而,鼓励根据本标准达成协议的各方研究是否可使用这些文件的最新版本。凡是不注日期的引用文件,其最新版本适用于本标准。
GB 11552-1999 轿车内部凸出物
GB/T 11563 汽车H点确定程序(eqv ISO 6549:1980)
GB 14166-1993 汽车安全带性能要求和试验方法
GB 14167-1993 汽车安全带安装固定点
QC 244 汽车安全带动态性能要求和试验方法
CMVDR 217 关于座椅、座椅固定装置和头枕的设计规则
ISO 6487 道路车辆碰撞试验测量技术 检测仪器
3 术语和定义
下列术语和定义适用于本标准。
3.1 座椅型式 seat type
在下列可能影响其强度和伤害性方面无实质区别的某类座椅;
a) 承载件的结构、形状、尺寸和材料;
b) 座椅靠背调整和锁止系统的型式和尺寸;
c) 附件和支撑件(即椅腿)的尺寸、结构和材料。
3.2 调整系统 adjustment system
一种可将座椅或其部件调节到适于乘客乘坐的装置。
3.3 位移系统 displacement system
在没有固定的中间位置情况下,一种可使座椅或某个部件横向或纵向移动、以方便乘客进出的装置。
3.4 锁止系统 locking system
一种保证座椅或其部件保持在其使用位置的装置。
3.5 连接件 attachment fittings
用来将座椅安装到车辆固定件上的螺栓等零件。
3.6 台车 trolley
用于动态再现交通事故包括前部碰撞的试验设备。
3.7 辅助座椅 auxiliary seat
台车上被试座椅后面安装假人的座椅,代表着车辆上使用的位于被试座椅后面的座椅。
3.8 基准平面 reference plane
通过人体模型两脚跟与地板接触点的平面,按GB/T 11563的规定,用于确定乘坐状态下车辆的H点和实际躯干角。
3.9 基准高度 reference height
基准平面以上至座椅顶部的高度。
3.10 假人 manikin
符合HYBRID II或Ⅲ型要求的人体模型。
3.11 基准区 reference zone
两个对称于H点、各距H点400mm的纵向垂面之间的空间,并按GB 11552-1999附录A的描述,为头形装置从垂直转到水平位置的范围。此头形装置应按GB 11552-1999附录A的规定安放,其中心到转动轴中心线的距离可在736mm~840mm之间连续调整。
3.12 座椅间 seat spacing
后方座椅靠背前部凸起部分至前方座椅靠背后部凸起部分之间的距离,在基准平面以上620mm高度处水平测量。
4 要求
4.1 座椅要求
4.1.1 总体要求
每种型式的座椅应满足4.1.2规定的静态试验和4.1.3规定的座椅靠背后部吸能特性要求或者4.1.4规定的动态试验要求。所提供的每种调整和位移系统都应配备自动锁止装置,试验后不要求座椅的调整和锁止系统处于完全工作状态。
4.1.2 静态试验要求
4.1.2.1 试验确定
4.1.2.1.1 乘坐的乘客能被其前方座椅恰当地限制住。
按5.1.2.1施加的每个试验力(在有关乘坐位置的纵向中心面内水平测量),如上部模板施力中心点的最大位移不超过400mm,可认为满足要求[见图la)]。
4.1.2.1.2 乘坐的乘客未受严重伤害。符合下列条件,可认为满足要求:
a) 按5.1.2.1施加的每个试验力,上部模板施力中心点的最大位移不小于100mm(测量方法同4.1.2.1.1.)[见图lb]];
b) 按5.1.2.2施加的每个试验力,下部模板施力中心点的最大位移不小于50mm(测量方法同4.1.2.1.1)[见图lb)]。

图1 静态试验示意图
4.1.2.1.3 座椅及其安装足够牢固。符合下列条件,可认为满足要求:
a) 试验期间,无座椅零件、座椅安装件和附件完全分离;
b) 试验期间,即使一个或多个固定件部分地分离,座椅仍能牢牢地固定住,且所有锁止系统保持锁死;
c) 试验后,座椅或其附件的结构件无任何可能导致人体伤害的断裂或尖角、锐边。
4.1.2.2 所有构成座椅背面的安装件或附件,在碰撞时都不应对乘客身体造成任何伤害。如果直径165 mm的球体接触到的任意部分,其曲率半径均为5 mm以上,则可认为满足此要求。
4.1.2.3 如位于刚性背面上的安装件和附件的任何部位均由硬度邵尔A小于50的材料制成,则4.1.2.2的要求仅适用于该刚性背面。
4.1.2.4 座椅背面部件,如调整装置和附件位于基准平面上方400mm的水平面以下,即使乘客可能接触到,4.1.2.1.3 c)的要求可不必满足。
4.1.3 座椅靠背后部的吸能特性
座椅靠背后部的吸能特性应符合GB 11552-1999中附录C规定的要求。
4.1.4 动态试验要求
4.1.4.1 试验确定
4.1.4.1.1 乘坐的乘客能被其前方座椅和(或)安全带恰当地限制住。
如果假人躯干和头部的任何部分向前位移不超过位于辅助座椅R点前1.6m的横向垂面,则可认为满足此要求。
4.1.4.1.2 乘坐的乘客未受严重伤害。按附录A和附录B确定的允许伤害指标,应满足:
a) 头部允许指标(HIC) 小于500;
b) 胸部允许指标(ThAC) 小于30g(总时间小于3 ms者除外)(g=9.81 m/s2);
c) 腿部允许指标(FAC) 小于10kN;当总时间大于20ms时,应小于8 kN。
4.1.4.1.3 座椅及其安装足够牢固,并符合4.1.2.1.3的规定。
4.1.4.2 动态试验的其他要求应符合4.1.2.2~4.1.2.4的规定。
4.2 座椅固定件要求
4.2.1 车辆的座椅固定件应能承受5.4所规定的试验。
4.2.2 在规定的时间内承受规定的试验力后,允许固定件或其周边区域产生永久变形,包括部分断裂或损坏。
4.2.3 一种车型上有多于一种形式的固定件,每种形式的固定件都应进行试验。
4.2.4 对于M3类客车,如果相应座椅位置的安全带固定点直接固定在座椅上,而且这些安全带固定点符合GB 14167的要求,应认为座椅固定件符合4.2.1和4.2.2的要求。
4.3 座椅安装要求
4.3.1 所有安装的前向座椅应满足4.1.1的要求,并符合下述条件:
a) 座椅应有至少1m的基准高度;
b) 紧邻接其后的座椅的H点应与该座椅H点的高度差不大于72mm;如果大于72mm,应对该安装位置的座椅进行试验。
4.3.2 应按5.1和5.2的要求,进行座椅静态试验和座椅靠背后部吸能特性试验。如下列情况除外:
a) 如座椅后面不会被未约束的乘客撞击(即无前向座椅直接在被试座椅后面),5.1规定的座椅静态试验可不做;
b) 符合下列情况,5.2规定的座椅靠背后部吸能特性试验可不做:
1) 座椅后面不会被受约束的乘客撞击;
2) 后排座椅上安装有三点式安全带,且完全符合GB 14167的规定(未取下)。
4.3.3 按5.3的要求应进行试验1和试验2,但下列情况除外:
a) 当座椅后部不会被未约束的乘客所撞击时(即无前向座椅直接在被试座椅后面),试验1可不做;
b) 符合下列情况,试验2可不做:
1) 座椅后面不会被受约束的乘客撞击;
2) 后排座椅上安装有三点式安全带,且安全符合GB 14167的规定(未取下);
3) 座椅达到4.1.3规定的座椅靠背后部吸能特性要求。
5 试验方法
5.1 座椅静态试验
5.1.1 试验装置
a) 模板的示意图见图2,其曲率半径为(82±3)mm,上部模板的宽度至少等于每个乘坐位置被试座椅靠背的宽度,下部模板宽度等于320+100mm;
单位为毫米

图2 静态试验装置
b) 与座椅部件接触的表面材料的硬度应不小于邵尔A 80;
c) 每个圆柱面应至少安装一个力传感器,以测定5.1.2.1规定的力。
5.1.2 试验程序
5.1.2.1 用5.1.1.规定的试验装置对每个乘坐位置的座椅后部施加一个(1000/H1±50)N的试验力。
a) 施力方向应位于相应乘坐位置的垂直中心面内,水平方向,从座椅后部向前;
b) 施力高度H1应在基准平面以上0.70m~0.80m之间,准确高度由制造厂决定。
5.1.2.2 一个等于(2000/H2±100)N的试验力应同时施加在座椅后部,对应于座椅的每个乘坐位置,在该位置的垂直中心面和水平向前方向,高度H2应在基准平面以上0.45m~0.55m之间,该试验力用5.1.1的装置施加,准确高库由制造厂决定。
5.1.2.3 在按5.1.2.1和5.1.2.2施力期间,试验装置,应尽可能同座椅后部接触,并能在水平面内转动。
5.1.2.4 一只座椅有多于一个乘坐位置时,应对每个座位同时施力,因此应有与座位数相等的上模板和下模板。
5.1.2.5 用至少20N的力使试验装置与座椅接触,确定每块模板在每个乘坐位置的初始位置。
5.1.2.6 施加5.1.2.1和5.1.2.2规定的力应尽可能快,且同时保持在规定值,无论怎样变形,至少保持0.2s。
5.1.2.7 如果试验已用一个或多个力进行,但不是所有的力都大于5.1.2.1和5.1.2.2的规定值,且座椅符合规定,则应认为试验满足要求。
5.2 座椅靠背后部吸能特性试验
座椅靠背后部的吸能特性试验,应按照GB 11552-1999中附录C规定的试验方法进行。检测时,除桌子处于收起位置外,所有安装的附件都应在使用状态。
5.3 座椅动态试验
5.3.1 试验座椅的准备
5.3.1.1 试验座椅应安装在代表车身的试验平台上,或者一个刚性的试验平台上。
5.3.1.2 试验平台上试验座椅的固定件应与安装该座椅的车辆固定件相同,或具有相同的特性。
5.3.1.3 试验座椅的装饰件和附件应齐全,如座椅配有小桌,则应处于收起位置。
5.3.1.4 如座椅可横向调整,应处于最大伸开位置。
5.3.1.5 如座椅靠背可调整,应调整到使人体模型(用来确定在车内乘坐位置H点和实际躯干角)躯干的倾角尽可能接近制造厂推荐的正常使用值;如无制造厂特定的推荐值时,尽可能向垂线后方倾斜25°。
5.3.1.6 如座椅靠背装有可调节高度的头枕,头枕应处于最低位置。
5.3.1.7 安装在辅助座椅和被试座椅上的安全带应符合GB 14166和QC 244的规定,并装配在符合GB 14167规定的固定点上。
5.3.2 试验l
5.3.2.1 试验平台
应安装在台车上。
5.3.2.2 辅助座椅
辅助座椅可以与被试座椅型式相同,并应直接放置在被试座椅后面,两座椅高度相同,调整状态一致,座椅间距750mm。
5.3.2.3 假人
5 3.2.3.1 假人应无约束地放在辅助座椅上,使其对称面同所述乘坐位置的对称面相一致。
5.3.2.3.2 假人的手应放在大腿上,肘部接触到靠背,腿处于最大伸展位置,如可能时应平行,脚跟接触地板。
5.3.2.3.3 每个所使用的假人应按下列程序安置在座椅上:
a) 以尽可能接近所要求的位置将假人安放在座椅上;
b) 将一块76mm×76mm的刚性平面尽可能低地放置在假人躯干的前面;
c) 以250N~350N的水平力将此平面压向假人躯干;
拉动假人的肩部,将躯干向前拉到垂直位置,然后再放回到靠背上,该动作做两次;躯干不移动时,头部应处于使头内支承测量仪器的平台为水平的位置,并保持头部中心平面平行于车辆的对称平面;
d) 将该刚性平面小心地移去;
e) 将座椅上的假人向前移动,重复上述安装步骤;
f) 如果需要,下部肢体的位置应调整;
g) 碰撞时,所装仪器应对假人的运动无任何影响;
h) 试验前,测量仪器系统的温度应稳定,并尽可能保持在19℃~26℃范围内。
5.3.2.4 碰撞模拟
a) 台车的碰撞速度应为30 km/h~32 km/h;
b) 在碰撞试验期间,除非间隔时间小于3 ms,台车减速度的时间历程应保持在图3所示的限定曲线之间;
c) 平均减速度应在6.5 g~8.5 g之间。

图3 减速度的时间历程
5.3.3 试验2
5.3.3.1 用坐在辅助座椅上的假人重复进行试验1,假人应被安全带约束住,并按制造厂的说明安装和调整。
5.3.3.2 在用三点式安全带约束假人进行试验2且不超过允许伤害指标的情况下,此辅助座椅应认为已符合静态试验载荷的要求以及GB 14167中对安全带上固定点位移的要求。
5.4 车辆固定件试验
5.4.1 试验设备
5.4.1.1 将一个足以代表拟用在车辆上的座椅的刚性结构件,采用制造厂提供的连接件(螺栓,螺杆等)安装到提供试验的固定件上。
5.4.1.2 如果几种形式的座椅其前后椅脚脚端之间的距离不等,且都能安装在相同的固定件上,试验应用脚端距离最短的座椅进行。
5.4.2 试验程序
5.4.2.1 F力施加的方法
a) 在基准平面以上750mm,力F作用在以不同固定点为顶点(或者合适时,将座椅末端的固定件包括在内)组成的多边形的几何中心垂线上,通过5.4.1.1规定的刚性结构件施力;
b) F力为水平方向,指向车辆前方;
c)滞后时间尽可能短,施力至少0.2 s。
5.4.2.2 F力之值由下式确定
F=(5000±50)×i
式中:
F——单位为牛顿(N);
i——座椅乘坐位置数。
如果制造厂提出要求,可按照动态试验时测定的典型载荷进行试验。
附录A
(规范性附录)
应做的检测
A.1 对所有应做的检测,其测量系统应符合ISO 6487的规定。
A.2 动态试验,
A.2.1 在台车上做的测定
台车的减速度特性应通过其刚性结构件,用CFC60测量系统测得的减速度来确定。
A.2.2 在假人上做的测定
测量装置的读数应通过下列CFC独立数据通道记录。
A.2.2.1 假人头部的测量
重心的三维合减速度(γr)应用CFC600测量。
A.2.2.2 假人胸部的测量
重心的合减速度应用CFCl80测量。
A.2.2.3 假人腿部的测量
轴向压力应用CFC600测量。
附录B
(规范性附录)
允许伤害指标的确定
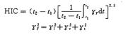
B.1 头部允许指标(HIC)
此指标应按附录A中A.2.2.1测量的三维合减速度来计算,公式如下:

式中:
t1和t2——试验期间时间的任意值,t1和t2的单位为秒(s);
γr——头部重心位置的合减速度;
γ1——纵向瞬时减速度;
γv——垂直瞬时减速度;
γt——横向瞬时减速度。
B.2 胸部允许指标(ThAC)
此指标由合减速度(g)的绝对值和减速度持续时间(ms)确定,减速度按附录A中A.2.2.2的规定测量。
B.3 腿部允许指标(FAC)
此指标由人体模型每条腿轴向传递的压载(按附录A中A.2.2.3的规定测量,单位kN)和压载持续时间(ms)确定。
1、凡本网注明“来源:www.politicsinfos.com” 的所有作品,版权均属于完美作业网有免费视频,未经本网授权,任何单位及个人不得转载、摘编或以其它方式使用上述作品。已经本网授权使用作品的,应在授权范围内使用,并注明“来源:www.politicsinfos.com”。违反上述声明者,本网将追究其相关法律责任。
2、凡本网注明 “来源:XXX(非完美作业网有免费视频)” 的作品,均转载自其它媒体,转载目的在于传递更多信息,并不代表本网赞同其观点和对其真实性负责。
3、如因作品内容、版权和其它问题需要同本网联系的,请在30日内进行。
※ 有关作品版权事宜请联系:copyright#chinabuses.com
- 每辆补贴4.2-8万元!新能源城市公交及动力电池更新补贴标准出台[09-26]
- 交通运输部:全力做好2024年中秋国庆假期交通运输服务保障[09-13]
- 12城入围!交通部印发2024年城市公交优先发展和绿色出行典型案例[09-13]
- 交通运输部修订印发《汽车客运站安全生产规范》[09-12]
- 六部门组织开展2024年绿色出行宣传月和公交出行宣传周活动[09-06]
- 工信部等八部门:做好老旧新能源城市公交车辆动力电池更换工作[08-21]
- 行业观察|国务院审议通过《城市公共交通条例》将为行业带来哪些利好?[08-20]
- 政策解读|交通部印发《农村客货邮运营服务指南(试行)》的通知[08-16]